• RUB:
    6.68
  • USD:
    520.93
  • EUR:
    609.07
Basty saıtqa ótý
Ǵalam ǵajaptary 02 Shilde, 2025

Eń qıyn esep sheshimin tabady

50 ret
kórsetildi

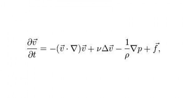
«Google DeepMind» kompanııasy­­nyń ǵalymdary álemdegi eń qıyn ­esep­terdiń biri Nave-Stoks teń­­deýin sheshýge jaqyn qaldy. Bul esep – arnaıy tizimge engen myń­jyldyq máse­leleriniń biri. Ony sheshken adamǵa 1 mıllıon dollar syıaqy beriledi.

Komanda bul eseppen úsh jyldan beri qupııa túrde aınalysyp keledi. Onyń quramynda belgili matematık Haver Gomes Serrano da bar. Onyń aıtýynsha, olar esepti shesheıin dep qalǵan. Bul teńdeý suıyq pen gazdyń qozǵalysyn túsindirýge kómektesedi. Eger esep sheshilse, aýa raıyn boljaý, avıasııa, medısına sııaqty salalarda úlken ózgerister bolady.